Diffusion microrheology of ferrofluids
DOI:
https://doi.org/10.31349/RevMexFis.64.82Keywords:
Viscoelasticity, ferrofluids, microrheology, rheology, colloids.Abstract
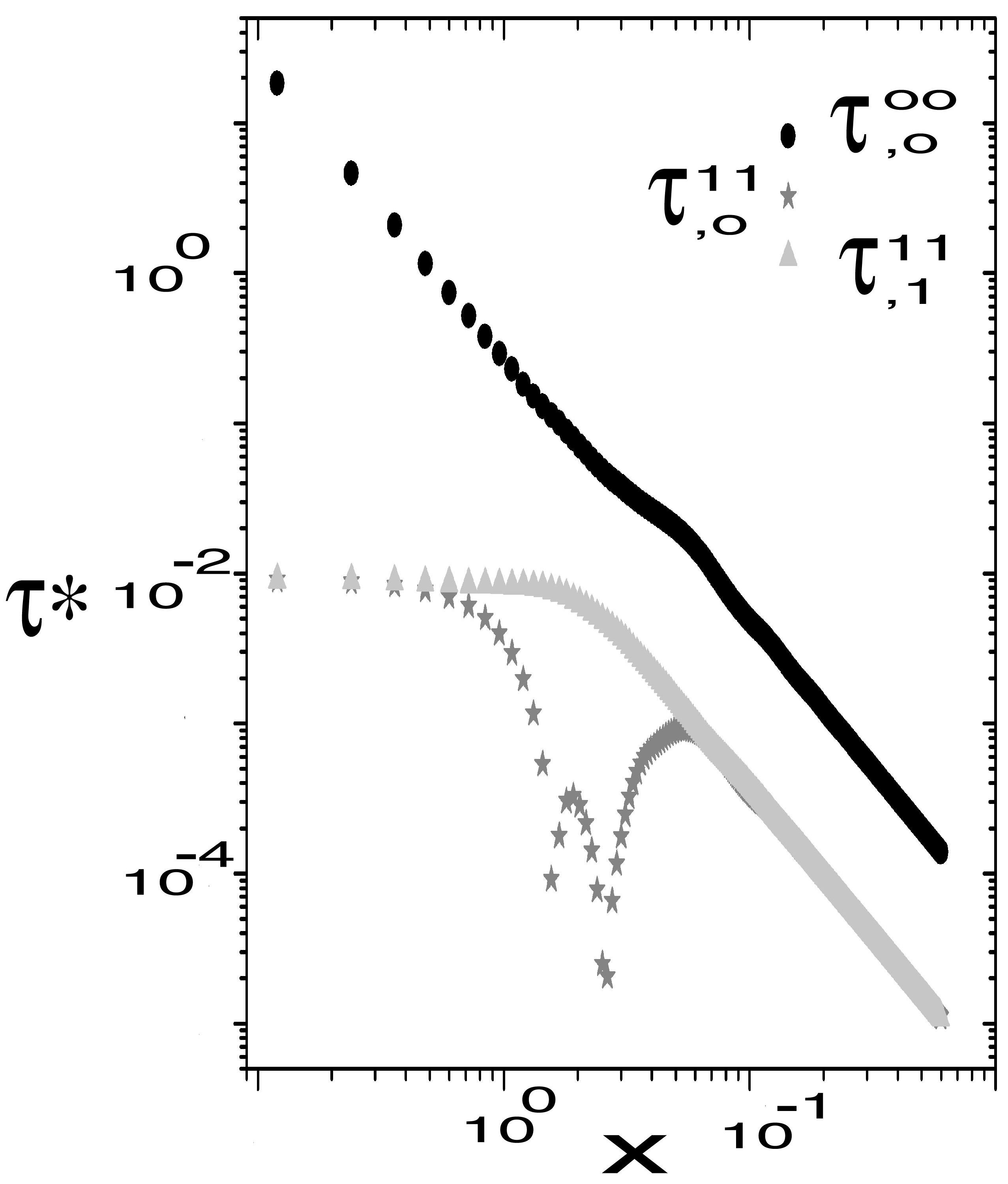
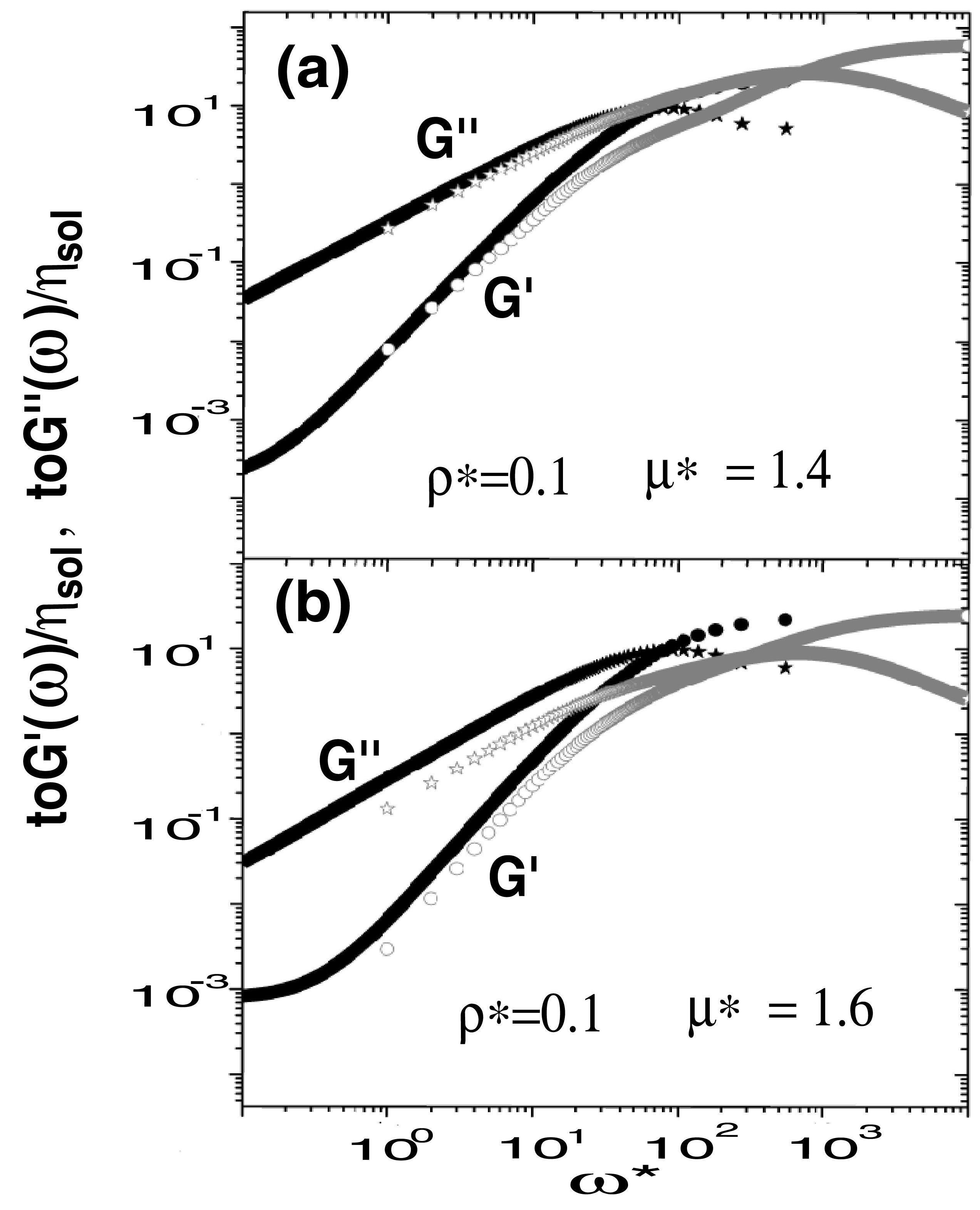
We provide a statistical mechanics approach to study the linear microrheology of thermally equilibrated and homogeneous ferrofluids. The
expressions for the elastic and loss moduli depend on the bulk microstructure of the magnetic fluid determined by the structure factor of the
suspension of magnetic particles. The comparison of the predicted microrheology with computer simulations confirms that as a function of
relaxation frequency of thermal fluctuations of the particle concentration both theory and simulations have the same trends. At very short
frequencies the viscous modulus relates to the translational and rotational self-diffusion coefficients of a ferro-particle.
Downloads
Published
How to Cite
Issue
Section
License
Authors retain copyright and grant the Revista Mexicana de Física right of first publication with the work simultaneously licensed under a CC BY-NC-ND 4.0 that allows others to share the work with an acknowledgement of the work's authorship and initial publication in this journal.
